2021—2023年获得荣誉
作者: 来源: 发布时间:2024年09月27日 点击数:
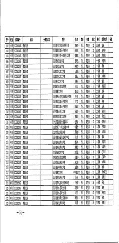
2021年10月,原创舞蹈作品《瓷彩》四川省舞蹈新作比赛表演三等奖;

2023年3月,群舞《高原阳光》获四川省第九届少数民族艺术节舞台艺术精品展演(职业组)二等奖;

2023年6月,群舞《说唱俑》入围第十三届“桃李杯”全国青少年舞蹈教育教学成果展示活动四川推荐作品;

2023年6月,独舞《采菊东篱下》入围第十三届“桃李杯”全国青少年舞蹈教育教学成果展示活动四川推荐作品;

2023年6月,川剧《杨家将.拦马》评为四川赛区优秀节目;

2023年6月,精品课《川剧功法:“团扇”》入围第十三届“桃李杯”全国青少年舞蹈教育教学成果展示活动四川推荐作品;

2023年7月,群舞《说唱俑》获第十四届全国舞蹈展演优秀节目;

2023年11月,《紫陶灵》获2023年“中银杯”四川省职业院校技能大赛中职组“舞蹈表演”(中国舞表演方向)赛项一等奖;(见川教函【2024】35号)
2023年11月,《晨曦初露》获2023年“中银杯”四川省职业院校技能大赛中职组“舞蹈表演”(中国舞表演方向)赛项一等奖;(见川教函【2024】35号)


2023年12月,群舞《说唱俑》获四川省舞蹈新作比赛表演二等奖;

2023年12月,群舞《从来银杏不负秋》获四川省舞蹈新作比赛表演一等奖和优秀服装设计奖;


2024年1月,多宝手机注册被表彰为2023年度中职学校德育工作先进集体;


- 上一篇:2017-2018获得荣誉
- 下一篇:2024获得荣誉
相关文章
-
没有相关内容




地理位置